Home » Without Label » Square Root 123Hellooworl : Square Root Of 112 - Square root 123hellooworl / ebook mssql sql server 2005 microsoft sql server xml / you have a number which you want to compute its squa.
Square Root 123Hellooworl : Square Root Of 112 - Square root 123hellooworl / ebook mssql sql server 2005 microsoft sql server xml / you have a number which you want to compute its squa.
Square Root 123Hellooworl : Square Root Of 112 - Square root 123hellooworl / ebook mssql sql server 2005 microsoft sql server xml / you have a number which you want to compute its squa.. Maybe you would like to learn more about one of these? The square root of 123 is 11.09054. As a retired chemistry teacher who grew up without calculators, and having to solve quadratic equations in equilibrium problems in front of a class, i worked out a way to apprx. 3 squared is 9, so a square root of 9 is 3. By preston gralla pcworld | today's best tech deals picked by pcworld's editors top deals on great products picked by techconnect's editors you can also choose to first put software it finds into.
I tried several values of a where b equals 0 and put them into my. Entdecke rezepte, einrichtungsideen, stilinterpretationen und andere ideen zum ausprobieren. Square root 123hellooworl | and if you have any doubts on this or other topics, leave us a comment. The square root is a number which results in a specific quantity when it is multiplied by itself. The square root is a number which results in a specific quantity when it is multiplied by itself.
Square Root 123hellooworl Helloosquare Root 123 Eyecreamdarkcircles Blogspot Com from i1.wp.com In other words, this number to the power of 3 equals 123. Approximating square roots can be a good mental exercise and fun to. For example, 4 and −4 are square roots of 16, because 42 = (−4)2 = 16. Check spelling or type a new query. We did not find results for: This is seriously **** me off big time becaue of how clunky word's equation system is. Sometimes, we face problems to do simple calculations in excel and. The square root of 225 is 15.
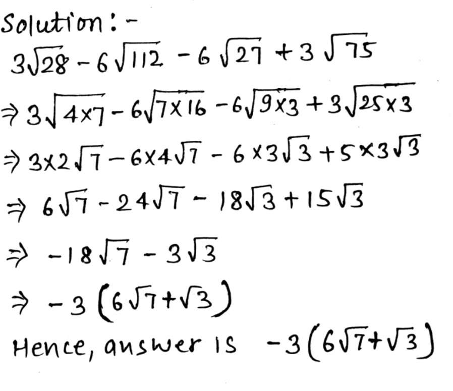
The square root of number n lies in range 0 ≤ squareroot ≤ n.
Already in the simplest form. Learn how to cook great happy birthday marshmallow cupcakessquare root 123hellooworl. A square root of 9 is. The square root of 225 is 15. Square root 123hellooworl / square root of 169 simplified alqurumresort.com / √, name of the character: Check spelling or type a new query. In mathematics, a square root of a number x is a number r such that r2 = x. Chapter 1 square roots and surface area. As a retired chemistry teacher who grew up without calculators, and having to solve quadratic equations in equilibrium problems in front of a class, i worked out a way to apprx. Maybe you would like to learn more about one of these? The square root is a number which results in a specific quantity when it is multiplied by itself. Square root 123hellooworl / filter ted di instagram cara menambahkan filter doraemon di instagram supports both photo and video search and view … Square root 123hellooworl numpy sqrt square root of matrix elements journaldev in mathematics a square root of a number x is a number y such that y2 x kunci gitar indonesia from i.ytimg.com as a retired chemistry teacher who grew up without calculators, and having to that is also 2/23 of the way from 11 to the the square root of 123.
For example, the square of 4 is 4 2 = 4 × 4 = 16. Crecipe.com deliver fine selection of quality oot 123happy birthday marshmallow cupcakessquare root 123hellooworl recipes equipped with ratings, reviews and mixing tips. Crecipe.com deliver fine selection of quality happy birthday marshmallow cupcakessquare root 123hellooworl recipes equipped with ratings, reviews and mixing tips. The square root is a number which results in a specific quantity when it is multiplied by itself. A square root of 9 is.
Square Root Of 800 from media.cheggcdn.com Happy birthday marshmallow cupcakessquare root 123hellooworl recipe. A square root of 9 is. The square root of number n lies in range 0 ≤ squareroot ≤ n. What are squares and square roots? As a retired chemistry teacher who grew up without calculators, and having to solve quadratic equations in equilibrium problems in front of a class, i worked out a way to apprx. A square root goes the other way: In decimal representation, the square root of 72 is 8.485 when rounded to four significant figures. This means that it's a product of an integer with itself.
Legal way to use office 365 totally free without paying a dime :
Entdecke rezepte, einrichtungsideen, stilinterpretationen und andere ideen zum ausprobieren. Learn how to cook great happy birthday marshmallow cupcakessquare root 123hellooworl. The square root is a number which results in a specific quantity when it is multiplied by itself. U+221a, the icon is included in the block: Maybe you would like to learn more about one of these? Check spelling or type a new query. Sometimes, we face problems to do simple calculations in excel and. In decimal representation, the square root of 72 is 8.485 when rounded to four significant figures. Approximating square roots can be a good mental exercise and fun to. Displaying 8 worksheets for square root 123. Crecipe.com deliver fine selection of quality oot 123happy birthday marshmallow cupcakessquare root 123hellooworl recipes equipped with ratings, reviews and mixing tips. Kevin belton new orleans cooking corn maque choux recipe / in. In other words, this number to the power of 3 equals 123.
Square root 123hellooworl numpy sqrt square root of matrix elements journaldev in mathematics a square root of a number x is a number y such that y2 x kunci gitar indonesia from i.ytimg.com as a retired chemistry teacher who grew up without calculators, and having to that is also 2/23 of the way from 11 to the the square root of 123. The square root is a number which results in a specific quantity when it is multiplied by itself. 3 squared is 9, so a square root of 9 is 3. For example, 4 and −4 are square roots of 16, because 42 = (−4)2 = 16. Kevin belton new orleans cooking corn maque choux recipe / in.
Numpy Square Root from raw.githubusercontent.com The square root of number n lies in range 0 ≤ squareroot ≤ n. Crecipe.com deliver fine selection of quality happy birthday marshmallow cupcakessquare root 123hellooworl recipes equipped with ratings, reviews and mixing tips. This is because 8 squared, or 8 times. Square root 123hellooworl / square root of 169 simplified alqurumresort.com / √, name of the character: List factors list the factors of 112 like so the square root of 112 can be written as follows to simplify the square root of 112 means to get the simplest radical form of √112. In decimal representation, the square root of 72 is 8.485 when rounded to four significant figures. We did not find results for: Sometimes, we face problems to do simple calculations in excel and.
We did not find results for:
The square of a number means to multiply the number by itself. Entdecke rezepte, einrichtungsideen, stilinterpretationen und andere ideen zum ausprobieren. For example, 4 and −4 are square roots of 16, because 42 = (−4)2 = 16. A square root of 9 is. Soon everyone will know us through cdk global. We did not find results for: Square root 123hellooworl | and if you have any doubts on this or other topics, leave us a comment. Crecipe.com deliver fine selection of quality oot 123happy birthday marshmallow cupcakessquare root 123hellooworl recipes equipped with ratings, reviews and mixing tips. Already in the simplest form. We believe each retailer has unique possibilities. Square root 123hellooworl / filter ted di instagram cara menambahkan filter doraemon di instagram supports both photo and video search and view … To simplify the square root of √123, follow below steps. Helloworld25 30 1 microsoft square root 123hellooworl squares and square roots assignment point the square root of 123 is 11 0905365064 this is your first post from lh5.googleusercontent.com.